Particle Physics
Table of contents
- Prof. Thomas Gehrmann - Precision Calculations
- Prof. Massimiliano Grazzini - Standard Model and Higgs Physics at Colliders
- Prof. Gino Isidori - Beyond the Standard Model
- Prof. Stefano Pozzorini - Automated Simulations for high-energy colliders
- Prof. Adrian Signer - High-intensity low-energy particle physics
- Prof. Peter Stoffer - Effective Field Theories at the Precision Frontier
- Prof. Max Zoller - Precision Calculations
- Prof. Lea Caminada, Prof, Florencia Canelli, Prof. Ben Kilminster – CMS Experiment
- Profs. Lea Caminada, Florencia Canelli, Ben Kilminster - Collider detector development
- Prof. Nicola Serra, Prof. Olaf Steinkamp - LHCb Experiment
- Profs. Lea Caminada, Olaf Steinkamp - The Mu3e experiment
- Profs. Lea Caminada, Florencia Canelli, Ben Kilminster - Experiments for the FCC
Prof. Thomas Gehrmann - Precision Calculations
Our research group focuses on precision calculations for collider observables within the Standard Model and their application in the interpretation of experimental data. We develop novel techniques and computer algebra tools that enable analytical calculations in perturbative quantum field theory and help to unravel the underlying mathematical structures. We implement our results into numerical parton-level event generator programs, which are flexible tools that allow to take proper account of the details of experimental measurements, enabling precision theory to be directly confronted with the data.
Hadronic final states in Higgs boson decays
Future lepton colliders are intended to operate as so-called ‘Higgs factories’. Due to their significantly cleaner environment, such colliders offer the possibility of reaching unprecedented resolution on the hadronic decays of the Higgs boson. Besides precision studies of the established Higgs boson decays to pairs of bottom or charm quarks, direct detections of the Higgs boson decays to gluons or to light quark pairs may equally become feasible. To enable these determinations, an in-depth understanding of the hadronic final state characteristics in the different decay modes is mandatory.
We derived the fully exclusive decay rates of the Higgs boson to a quark-antiquark pair through its Yukawa coupling and to gluons through a closed top quark loop to third order in the QCD coupling constant. The calculation is the first application of a refined method for higher-order QCD calculations, which produces considerably more compact and stable expressions for numerical evaluation. The implementation of the results into the parton-level event generator NNLOJET allows to compute jet rates and event shape distributions in the different decay modes to high precision. Our results help to identify kinematical regions where the gluonic decay mode is enhanced. This is in particular the case in final states with three well-resolved clusters, such as in the three-jet rate or for large values of event shape variables. A further enhancement of the gluonic decay contributions is observed in those regions of the event shape distributions that are only accessible above a certain final-state multiplicity. The differences between the different Higgs boson decay modes can be traced back to the different QCD radiation patterns off quarks and gluons, thereby also opening up novel opportunities for precision QCD studies in hadronic Higgs boson decays at future electron-positron colliders.
-
- Zoom
- Distribution of events in the total jet broadening event shape variable BT for the dominant Higgs boson decay modes to bottom quarks, charm quarks and gluons.
Highlighted Publications:
- Jet rates in Higgs boson decay at third order in QCD,
E. Fox, A. Gehrmann-De Ridder, T. Gehrmann, N. Glover, M. Marcoli and C. Preuss,
Phys.Rev.Lett. 134 (2025) 251905. - Precise predictions for event shapes in hadronic Higgs decays,
E. Fox, A. Gehrmann-De Ridder, T. Gehrmann, N. Glover, M. Marcoli and C. Preuss,
JHEP 11 (2025) 168.
Prof. Massimiliano Grazzini - Standard Model and Higgs Physics at Colliders
Our research activity is focused on the phenomenology of particle physics at high-energy colliders. We perform accurate theoretical calculations for benchmark processes at high energy colliders and we strive to make their results fully available to the community. We develop flexible numerical tools that can be used to carry out these calculations with the specific selection cuts used in the experimental analyses. Our projects span over a wide range of processes from multiboson production to heavy-quark, Higgs and jet production at the LHC, to key processes at future e + e− colliders.
Jet production at NNLO: towards a new scheme
Our group has developed a scheme called qT -subtraction to perform fully differential QCD calculations at next-to-next-to-leading order (NNLO) and beyond and has applied it to a wide class of processes in which a colourless system (vector boson(s), Higgs boson(s)) possibly accompanied by a heavy-quark pair is produced in hadronic collisions. These calculations are now implemented in the public program MATRIX.
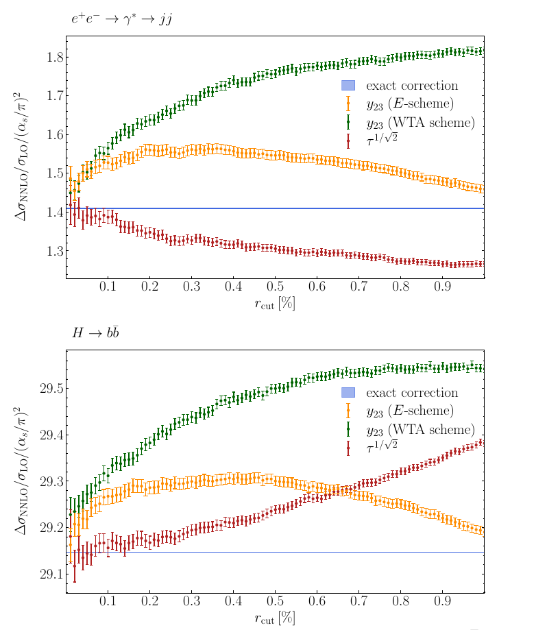
Our method cannot be directly applied to jet processes without an appropriate extension. Such extension requires that observables sensitive to the transverse momentum of the radiation are suitably defined. Our group has proposed a new class of transverse-momentum like resolution variables and is studying their application to the simplest jet production processes. We are currently focusing on the case of e+ e − collisions, since only final-state infrared singularities are present. The construction of a computational framework based on a new variable, which we generically denote as q, requires the study of its factorisation properties and the evaluation of perturbative ingredients known as hard, jet and soft functions. The hard function can be identified as the finite part of the virtual contribution to the Born level process. The jet function describes the collinear dynamics of a fragmenting final-state parton (quark or gluon). The soft function encodes the effect of large-angle soft radiation. After exploratory studies carried out at next-to-leading order, we have made the first steps towards NNLO. We have first studied the factorisation framework for multijet processes by suitably defining the needed perturbative ingredients [1]. We have then computed the quark jet function for k T -like variables at NNLO [2] and we have used it to test our new framework for dijet production in e+ e− collisions and in H → bb̄ [3].
With our method the NNLO correction is obtained in the limit in which a slicing parameter rcut = qcut /Q vanishes. In the figure we show our results for the dependence of the NNLO correction as a function of rcut . We show two variants of the resolution variable y 23 and we also show the case of 2-jettiness, τ. In all cases the NNLO correction in the limit rcut → 0 nicely agrees with the known analytic result for both processes. We have checked that this conclusion holds also for each of the three colour channels contributing to the NNLO correction. For both processes, the achieved precision at the level of the NNLO cross section is excellent, better than 0.1‰. The extension to higher jet multiplicities requires the evaluation of the gluon jet function and of the soft function for three or more hard partons. Work in this direction is ongoing.
-
-
Zoom
NNLO correction for e + e− → 2jets (top) and H → bb̄ (bottom) computed with different variables as a function of the slicing parameter. The exact result is shown in blue.
Highlighted Publications:
- Dissecting Exclusive Multijet Cross Sections,
J. Haag, arXiv:2509.06612, to appear on JHEP. - The quark jet function for kT -like variables in NNLO QCD,
L. Buonocore et al., Eur.Phys.J.C 85 (2025) 11, 1290. - Jet Production at NNLO: Exploring a New Scheme,
L. Buonocore et al., arXiv:2512.03954, to appear on JHEP.
Prof. Gino Isidori - Beyond the Standard Model
The Standard Model of fundamental interactions describes the nature of the basic constituents of matter, the so-called quarks and leptons, and the forces through which they interact. This theory is very successful in laboratory experiments over a wide range of energies. However, it fails in explaining cosmological phenomena such as dark matter and dark energy. It also leaves unanswered basic questions, such as why we observe three almost identical replicas of quarks and leptons, which differ only in their mass. Finally, it gives rise to conceptual problems when extrapolated to very high energies, where quantum effects in gravitational interactions become relevant. The goal of our research activity is to formulate extensions of this theory that can solve its open problems, identifying way to test the new hypotheses about fundamental interactions in future experiments.
Probing new interactions via flavour-changing transitions
One of the key predictions of the Standard Model (SM) is that quarks and leptons do appear in three replicas (denoted generations, or flavours) that behave exactly in the same manner under the known microscopic forces, and differ only in their mass (or better their interaction with the Higgs field). Why we have three almost identical replica of quarks and leptons, and which is the origin of their different interactions with the Higgs field is one of the big open questions in particle physics. The peculiar structure of quark and lepton masses, which exhibits a strongly hierarchical pattern, is very suggestive of some underlying new dynamics that we have not identified yet. The main goal of our research activity in the last few years is trying to understand the nature of this dynamics.
To achieve this main goal, we proceed along three complementary research directions:
1) we build explicit extensions of the SM that can explain the observed pattern of quark and lepton masses, possibly addressing also other short comings of the SM, in particular the instability of the Higgs sector and the nature of dark matter;
2) we investigate the consistency of the new hypothesized interactions with current data, particularly on rare flavour-changing transitions;
3) we perform detailed predictions, according to the new hypotheses, in view of future experiments.
Over the past year, we have made progress along all three directions. In particular, we have studied models in which dark matter (DM) couples to ordinary matter in a flavour non-universal way. Using a general effective field theory framework, we have shown that this hypothesis can naturally account for the current absence of direct-detection signals for TeV-scale DM candidates, while still allowing for potential discovery in upcoming experiments. We have also continued our investigation of composite Higgs models with flavour non-universal gauge interactions, identifying distinctive signatures that could be probed at future collider experiments.
-
- Zoom
- Experimental constraints on the coefficients of the effective operators describing the coupling of DM to SM particles of the third generation. The coefficients are parameterized as Ci /Λ2 and the values below the lines are allowed by current data. On the left axis we express the bounds on the Ci for Λ = 1 TeV, while on the right axis we display the bound on Λ for Ci =1. For comparison, the case of an operator with unsuppressed coupling to light quarks is also shown (black line). The gray regions are excluded by the breakdown of the main hypotheses of the effective theory approach.
Highlighted Publications:
- Minimal flavour deconstruction,
R. Barbieri and G. Isidori,
arXiv:2312.14004, JHEP 05 (2024) 033 - Flavour deconstructing the composite Higgs,
J. Davighi, G. Isidori and M. Pesut,
arXiv:2407.10950, JHEP 01 (2025) 041 - Probing third-generation New Physics with K → πνν
and B → Kνν, L. Allwicher et al.,
arXiv:2410.21444, Phys. Lett. B 861 (2025) 139295
Prof. Stefano Pozzorini - Automated Simulations for high-energy colliders
Our research deals with the development of automated methods for the simulation of scattering processes in quantum-field theory. The OPEN LOOPS algorithm, developed in our group, is one of the most widely used programs for the calculation of scattering amplitudes at the LHC. This tool is applicable to arbitrary collider processes up to high particle multiplicity and can account for the full spectrum of first-order quantum effects induced by strong and electroweak interactions.
Our phenomenological interests include topics like the strong and electroweak interactions of heavy particles at the TeV scale, theoretical challenges related to precision measurements in top-quark physics and to the extraction of rare Higgs-boson and dark-matter signals in background-dominated environments. Currently, as highlighted below, our group is developping a novel and widely applicable numerical method for theory precision at high-energy colliders.
A novel numerical approach for theory precision at colliders
Theoretical simulations of scattering processes are essential to interpret the vast data collected at the LHC. This requires extensive Monte Carlo simulations across many processes, yet for an increasing number of cases the required theoretical precision is computationally prohibitive or beyond current capabilities. In perturbative quantum field theory, theoretical precision is achieved through higher-order terms in the perturbative expansion. At leading order, calculations are simple, involving only the momenta of initial- and final-state particles. Each successive order, however, brings a sharp increase in complexity due to the appearance of unresolved degrees of freedom (d.o.f.) of virtual and real origin. Virtual d.o.f. are linked to loop momenta in quantum fluctuations, while real unresolved d.o.f. correspond to final-state particles that are too soft or collinear to be experimentally resolved. The main challenge is the integration over these unresolved momenta.
State-of-the-art methods treat virtual and real intergations analytically and numerically, respectively. Since such intergations involve infrared (IR) singularities, their combination requires sophisticated IR subtraction techniques. This approach has been fully automated at next-to-leading order (NLO), and a similar automation at next-to-next-to-leading order (NNLO) would significantly improve precision for a wide range of LHC processes. To this end, we are developing a new method that bypasses key NNLO bottlenecks and is suitable for automation within the OPEN LOOPS framework. Our approach is based on the Loop–Tree–Duality (LTD) method, where loop diagrams are converted into three-dimensional integrals that can be combined with real contributions in such a way that IR singularities cancel locally at integrand level. As a result, virtual and real d.o.f. can be integrated numerically without auxiliary IR subtractions. As a first step, we developed general NLO techniques that enable LTD automation and its application to realistic collider simulations. In the latter we generate NLO events involving real and virtual unresolved particles that are automatically aligned such as to yield IR finite observables. We also introduced a new strategy to avoid threshold singularities, which appear as ellipsoidal surfaces in loop momentum space and may intersect. To this end, we devised a simple subtraction algorithm that removes these singularities sequentially, ensuring stable numerical convergence, with dedicated treatments for intersecting configurations and their interplay with collinear singularities.
The algorithm was presented at RADCOR 2025, with a first publication expected in 2026. The current implementation applies to e+ e− collisions at NLO QCD, with extensions to hadron colliders in progress. At the same time, we have begun steps toward NNLO automation, developing a method where two-loop integrals are constructed from numerical one-loop integration combined with semi-analytic one-loop building blocks from OPEN LOOPS. Preliminary studies are very encouraging and will be presented at upcoming conferences.
-
- Zoom
-
This blackboard reflects selected features of our new method, such as triple cuts, semi-numerical two-loop diagrams and their discontinuities. The coloured background represents intersecting ellipsoids corresponding to threshold singularities.
Prof. Adrian Signer - High-intensity low-energy particle physics
Particle physics at low energy but high intensity provides an alternative road towards a better understanding of the fundamental constituents of matter and their interactions. Using the world’s most intense muon beam at PSI allows to look for tiny differences to the Standard Model or for extremely rare decays. Our group provides theory support for such experiments by computing higher-order corrections in Quantum Electrodynamics (QED) to scattering and decay processes and by systematically analysing the impact of experimental bounds on scenarios of physics beyond the Standard Model. These calculations are also adapted to experiments performed at other facilities with lepton beams.
Parity-violating Møller scattering with LEFT
Our group has set up McMule (Monte Carlo for MUons and other LEptons), a generic framework for higher-order QED calculations of scattering and decay processes involving leptons. The long-term goal is to provide a library of relevant processes with sufficient precision, typically at next-to-next-to leading order (NNLO) in the perturbative expansion. The code is public and the current version is available at https://gitlab.com/mule-tools/mcmule.
For low-energy scattering experiments, electroweak (EW) effects are typically strongly suppressed. However, parityviolating observables offer the possibility to dig out EW effects from the dominating parity-conserving QED effects. The MOLLER experiment will measure the the left-right asymmetry ALR ( θ ) for Møller scattering e− e− → e − e− , as a function of the scattering angle θ, at a centre-of-mass energy of √s ≃ 100 MeV. The leading contribution to ALR is due to the exchange of a Z boson.
This measurement is typically framed as a determination of the weak mixing angle at low energies. However, we use a strict low-energy effective theory (LEFT) framework and express the cross sections as a function of the Wilson coefficients of LEFT operators up to dimension six. This allows for a systematic resummation of large logarithms of the form log(μs /MZ ), where μs ∼ √s is much smaller than the mass of the Z boson M Z . This can be done using standard renormalisation-group evolution (RGE).
To compare with earlier results in the literature, we show in the Figure idealistic but unphysical results for A LR at √s =2 GeV, obtained with only virtual contributions. It was well known, that NLO corrections in the Standard Model are very large. Within LEFT, these large effects are identified as RGE effects. Indeed, for a proper choice of the soft scale μ s ≃ √s, the NLO corrections are strongly reduced.
We emphasise that for actually measured quantities, it is imperative to include real corrections and QED effects. To this end, in McMule we have implemented a fully differential computation at NNLO in QED combined with RGE-improved NLO LEFT effects. Progress towards a full NNLO computation in LEFT and a careful study of non-perturbative hadronic contributions is under way.
-
- Zoom
- The virtual part of ALR for Møller scattering at √s = 2 GeV at LO (light colours) and NLO (dark colours) in RGE-improved perturbation theory at LL (solid lines) and NLL (dotted lines) accuracy for different values of μs from the EW scale down to s. For μs =2 GeV, threshold corrections are properly taken into account in LEFT by integrating out the b quark at its mass threshold, up to one-loop order and dimension six.
Highlighted Publications:
- Parity violation in Møller scattering within low-energy effective field theory,
S. Kollatzsch, D. Moreno, D. Radic and A. Signer,
JHEP 09 (2025), 196 doi:10.1007/JHEP09(2025)19 arXiv:2507.17652 [hep-ph]
Prof. Peter Stoffer - Effective Field Theories at the Precision Frontier
The research of our group is focused on indirect searches for physics beyond the Standard Model and the theoretical challenges at the precision frontier: these concern the model-independent description of non-perturbative effects due to the strong interaction at low energies as well as higher-order perturbative effects that can be described within effective field theories.
Our current research activity is mainly motivated by experimental progress at the low-energy precision frontier, such as searches for CP- or lepton-flavor-violating observables and the improved measurement of the muon anomalous magnetic moment.
Despite its success, the Standard Model (SM) of particle physics fails to explain certain observations, such as the baryon asymmetry in the universe, dark matter, or neutrino masses. Our group is interested in indirect searches for physics beyond the SM, conducted in low-energy experiments at very high precision. These observables pose interesting theoretical challenges concerning the model-independent description of effects beyond the SM, as well as non-perturbative effects due to the strong nuclear force.
Two-loop renormalization of effective field theories
The indirect low-energy effects of heavy physics beyond the SM can be described by effective field theories, in particular SMEFT for observables around and above the electroweak scale and LEFT for observables at lower energies. In order to establish a robust connection between observables at very different energies, we have derived two-loop renormalization-group equations for these theories, in particular the ones for all LEFT operators up to dimension six and for the baryon-number-violating sector of SMEFT.
At the hadronic scale, we recently completed the one-loop matching of the LEFT to the QCD gradient-flow scheme. This will enable the use of improved input from lattice QCD for hadronic matrix elements that are relevant, e.g., for the neutron electric dipole moment, which is searched for in the n2EDM experiment at PSI.
Anomalous magnetic moment of the muon
The theoretical prediction of the anomalous magnetic moment of the muon aμ is currently affected by puzzling discrepancies between lattice-QCD evaluations of hadronic vacuum polarization and hadronic cross-section measurements, but also among different experiments providing this input.
We are working on dispersive approaches, in order to scrutinize these discrepancies and to arrive at a consolidated theory prediction. As part of the Muon g − 2 Theory Initiative, we published in 2025 a second White Paper with an updated SM prediction for aμ , which was used for the comparison with the final measurement of aμ by the Muon g − 2 experiment at Fermilab.
Low-energy effective field theory below the weak scale (LEFT)
The indirect low-energy effects of heavy physics beyond the SM can be described by effective field theories, in particular the LEFT for observables well below the electroweak scale. In order to establish a robust connection between observables at low and high energies, we are working out the renormalization of the LEFT at next-to-leading-log accuracy in the ’t Hooft–Veltman scheme, which is the only scheme proven to be fully algebraically consistent. To address the computational challenges in this scheme, we are developing tools based on state-of-the-art computer algebra. Recently, we worked out the entire evanescent sector of the theory required for next-to-leading-log accuracy and we published the first part of the two-loop renormalization-group equations. At the hadronic scale, we are working out the complete matching of the LEFT to the gradient-flow scheme. This will enable the use of improved input from lattice QCD for hadronic matrix elements that are relevant, e.g., for the neutron electric dipole moment searched for in the n2EDM experiment at PSI.
-
- Zoom
-
Summary of the current SM prediction for aμ in comparison to experiment (from Ref. [3]).
Highlighted Publications:
- Two-loop anomalous dimensions for baryon-number-violating operators in SMEFT,
S. Banik, A. Crivellin, L. Naterop, P. Stoffer,
JHEP 02 (2026) 017, [arXiv:2510.08682 [hep-ph]] - Renormalization-group equations of the LEFT at two loops: dimension-six operators,
L. Naterop, P. Stoffer,
JHEP 02 (2026) 016, [arXiv:2507.08926 [hep-ph]] - The anomalous magnetic moment of the muon in the Standard Model: an update,
R. Aliberti et al. (Muon g − 2 Theory Initiative),
Phys. Rept. 1143 (2025) 1-158, [arXiv:2505.21476 [hep-ph]]
Prof. Max Zoller - Precision Calculations
Our research focuses on the development and application of new methods and tools for high-precision theory predictions of scattering processes at particle colliders.
Automated numerical tools are crucial in accessing a large number of interesting processes at the LHC and other experiments in order to find small signatures of new physics. We are part of the collaboration developing the widely used OpenLoops tool, which provides first-order quantum corrections for any collider process. In our group new methods and algorithms are developed to calculate second-order quantum corrections at the same level of automation. Our approach combines highly efficient numerical algorithms with powerful analytical methods.
Our phenomenological interests include LHC physics as well as higher-order predictions for lepton experiments at lower energy.
Integral reduction for automated high-precision calculations
Current and future particle physics experiments demand high-precision predictions at next-to-next-to-leading order (NNLO) and beyond in quantum field theory for a wide range of scattering processes. In our group we develop algorithms and tools to facilitate such calculations with a high level of automation.
Our approach is to split these highly complex calculations into three main ingredients, namely a set of loop momentum tensor integrals, the corresponding tensor coefficients, and the treatment of the effects of integral divergences. Our main focus at the moment is on the first component, the loop integrals, which constitute the bottleneck in current calculations. The usually large set of tensor integrals needs to be reduced to a small set of scalar master integrals. To this end we developed and implemented an algorithm combining numerical and analytical methods, which performs the reduction of this set of tensor integrals to a smaller set of scalar integrals with high CPU efficiency and numerical accuracy.
Since the resulting scalar integrals are not independent, they can be reduced to a very small set of so-called master integrals. One of the most powerful tools on the market for this task is Kira. A key role in this development is played by a member of our group, Dr. Fabian Lange. In 2025, Kira 3 was released, which introduces optimized seeding and equation selection algorithms, in order to significantly improve the performance for multi-loop and multi-scale problems. This makes it an important ingredient to a fully automated framework for perturbative NNLO calculations, which is our main goal.
At lower energy scales, non-perturbative hadronic physics plays an important role in scattering processes. In order to achieve high-precision calculations for processes, such as e+ e− → π + π − , we extended the OpenLoops tool to allow calculations in the McMule Monte Carlo framework with “disperon QED”, a new method which relies on the combination of perturbative scattering amplitudes with auxiliary masses, dispersion relations, and effective field theory methods. This work forms the basis to tackle even more challenging processes, such as e+ e− → π + π − γ, in the future.
-
- Zoom
-
Performance comparison between Kira 2.3 and Kira 3 for the TennisCourt topology (depicted below the plot). The solution time T PyRed improves by two orders of magnitude and allows us to reach higher complexities smax .
Highlighted Publications:
- Kira 3: integral reduction with efficient seeding and optimized equation selection,
F. Lange, J. Usovitsch, Z. Wu,
Comput. Phys. Commun. 322 (2026) 109999, arXiv: 2505.20197 - Disperon QED, Y. Fang, S. Kollatzsch, M. Rocco,
A. Signer, Y. Ulrich, M. Zoller, arXiv: 2512.10709
Prof. Lea Caminada, Prof, Florencia Canelli, Prof. Ben Kilminster – CMS Experiment
The CMS (Compact Muon Solenoid) experiment at CERN explores the properties and interactions of fundamental particles, paving the way for discoveries. Its detector precisely measures particle energies and trajectories around an LHC collision point, where events recreate energy densities reminiscent of those just ten billionths of a second after the Big Bang. In 2012, CMS confirmed the Higgs field’s role in mass generation by discovering the Higgs boson—a major milestone for the Standard Model. Yet challenges such as the hierarchy problem, dark matter, and matter–antimatter asymmetry remain. In 2024, CMS collected Run 3 data from proton-proton collisions at 13.6 TeV (a run that began in 2022 and concludes in 2026) while preparing for a detector upgrade for the High-Luminosity LHC, set to start in 2030, to continue addressing fundamental questions and pushing the frontiers of particle physics.
-
The CMS group at UZH continues to play a leading role in precision measurements and searches for rare phenomena at the energy frontier. In 2025, the group led several major CMS publications across Higgs, QCD, and heavy-ion physics.
These analyses, based on the full Run 2 data set, probe the Yukawa structure of the Higgs sector, advance our understanding of non-perturbative QCD dynamics, and explore the gluonic structure of nuclei in previously uncharted kinematic regimes.
In parallel, the group has been deeply involved in the data taking and physics preparation for Run 3. This work requires detailed expertise in detector performance, including calibration, alignment, and reconstruction, as well as substantial contributions to software development and analysis infrastructure. Group members have played key roles in detector operation, monitoring, and performance validation, ensuring high-quality data delivery. At the same time, new analysis strategies have been developed and commissioned to address the increased luminosity and evolving running conditions of Run 3, positioning the group to fully exploit the emerging dataset.
A central focus of our Higgs physics program is the exploration of rare production modes that directly test the Yukawa couplings of second- and third-generation quarks. Using the full Run 2 proton–proton dataset at √s = 13 TeV, we performed the first dedicated search for Higgs boson production in association with bottom quarks (bbH) in final states containing two leptons [1]. Although the predicted bbH production rate is comparable to that of ttH production, the experimental separation from backgrounds and from other Higgs production mechanisms — particularly gluon–gluon fusion — is significantly more challenging. No statistically significant excess is observed, and an upper limit on the bbH signal strength is set at 95% confidence level. The result is further interpreted in the κ framework, providing direct constraints on the Higgs couplings to bottom and top quarks through a simultaneous fit of κ b and κt . -
- Zoom
-
Fig. 1: Upper limits at the 95% CL on the signal strength for the the pp→bbH(y b ,yt ) process [1].
-
-
Fig. 2: The process of Higgs boson production in association with charm quarks is a sensitive probe of the Higgs boson coupling to second generation fermions [2].
- Using the full Run 2 dataset and advanced multivariate techniques, upper limits on the cH signal strength are derived at 95% confidence level. This analysis provides novel constraints on the Higgs–charm Yukawa coupling, one of the least experimentally tested parameters of the Standard Model Higgs sector.
- Beyond Higgs physics, we performed a detailed study of intrinsic transverse momentum effects in Drell–Yan production [3]. Low-p T dilepton events offer a clean window into non-perturbative QCD dynamics. By analyzing dilepton transverse momentum distributions over a broad range of invariant masses and center-of-mass energies, we demonstrate that the energy scaling of the intrinsic kT parameter is independent of the dilepton mass.
- Based on CMS data reaching hard-scattering scales up to 1 TeV, we provide new tunes of intrinsic kT parameters in PYTHIA and HERWIG, significantly improving the modeling of soft QCD effects and strengthening the reliability of Monte Carlo predictions for precision measurements.
-
- Zoom
- Fig. 3: Tuned parameter q values for DY measurements at different center-of-mass energies (points) for various generator settings (lines and bands) [3].
- We also measured event-shape observables in low-pileup proton–proton collisions to probe the global properties of hadronic final states [4]. These measurements are sensitive to multi-parton interactions, hadronization models, and possible collective phenomena in small systems. Detector-corrected and unfolded particle-level distributions — provided together with their correlations — reveal that state-of-the-art event generators, including those incorporating advanced color reconnection and rope hadronization models, tend to underpredict the observed isotropy in the data. The results provide stringent constraints for further refinement of soft-QCD modeling.
-
In heavy-ion physics, we investigated gluon dynamics in ultraperipheral PbPb collisions through the study of incoherent J/ψ photoproduction [5]. Exploiting the intense electromagnetic fields generated by relativistic lead ions, photon-induced interactions can be isolated in a clean environment. The measured Bjorken-x dependence of the cross section provides new insight into the spatial and momentum structure of gluon fields in nuclei and their evolution toward small x. These findings contribute to a deeper understanding of high-density gluon dynamics and provide important input for future experimental programs.
-
- Zoom
-
Fig. 4: The nuclear suppression factor S J/Ψ of incoherent (from this study and ALICE) and coherent (from CMS [25] and ALICE J/Ψ photoproduction as a function of x [5].
Highlighted Publications:
- Search for bottom quark associated production of the standard model Higgs boson in final states with leptons in proton-proton collisions at √s = 13 TeV,
Phys. Lett. B 860 (2025) 139173 [HIG-23-003] - Search for a cH signal in the associated production of at least one charm quark with a Higgs boson in the diphoton decay channel in pp collisions at √s =13 TeV,
JHEP 11 (2025) 060 [HIG-23-010] - Energy-scaling behavior of intrinsic transverse-momentum parameters in Drell-Yan simulation,
Phys. Rev. D 111 (2025) 072003 [GEN-22-001] - Measurement of event shapes in minimum-bias events from proton-proton collisions at √s = 13 TeV,
Phys. Rev. D 112 (2025) 112006 [SMP-23-008] - Probing Gluon Fluctuations in Nuclei with the First Energy-Dependent Measurement of Incoherent J/ψ Photoproduction in Ultraperipheral PbPb Collisions,
Phys. Rev. Lett. 135 (2025) 112301 [HIN-23-009]
More publications at: https://www.physik.uzh.ch/r/cms
Profs. Lea Caminada, Florencia Canelli, Ben Kilminster - Collider detector development
The CMS detector includes a silicon pixel detector as the innermost part of the tracking system. The pixel detector provides 3-dimensional space points in the region closest to the interaction point that allow for high-precision tracking of charged particles and vertex reconstruction. This enables the measurement and search for particles that decay to b quarks and tau leptons, such as the Higgs boson, the top quark, and leptoquarks. Our groups are major contributors to the CMS pixel detector project. We helped build and operate the current pixel detector and are involved in the design and prototyping of a new, improved version with more tracking layers, less material, and higher data rates to be installed in 2029 for high-luminosity LHC (HL-LHC). Furthermore, we are developing and testing new pixel detector concepts for future upgrades of CMS, future accelerators and other applications.
The CMS pixel detector enables high-precision track and ver- tex reconstruction. The pixel detector shows a good perfor mance during LHC Run 3 (2022-2026) and our groups contribute significantly to its operation and monitoring. CMS will collect more than 20 times the current data set during the period of 2030 to 2041 (during HL-LHC).
The UZH group together with PSI, is building an inner tracking detector for this period, that will extend the tracking coverage. This Tracker Extended Pixel detector (TEPX) will consist of a large-area disk system with more than one billion pixels. At UZH, we have contributed to the module concept and we are developing the disk electronics, components of the pixel detector readout chain as well as lightweight mechanical structures and thin-walled cooling tubes to build the disk structures with minimal material. We set up a system test to characterize the performance of the detector readout chain [1], the novel serial powering scheme and the thermal behaviour of the modules [2]. UZH also serves as a testing center for module production. A new clean room has been equipped to qualify and calibrate the detector modules at different operating temperatures.
We are also developing new sensors, called Low Gain Avalanche Detectors (LGADs), which represent the optimal technology to achieve 4D tracking, combining the fine segmentation typical of silicon detectors with fast and enhanced signals to reach around 30 ps of timing resolution for minimum ionizing particles. LGADs thus open the way for precise timing together with precise positioning. Our group is characterizing different technologies within this family of silicon devices to identify the more suitable ones to work in the harsh environment of the pixel systems at LHC. For this purpose, we have been probing the timing resolution and the hit efficiency of LGAD sensors before and after irradiating them to reproduce the effect of high particle fluxes.
In 2022, the UZH group replaced the innermost layer of the pixel detector in order to maintain efficient tracking during Run 3. The new layer has been successfully operated with the rest of the detector since 2022 and our groups contribute significantly to its operation and monitoring [1].
CMS will collect more than 20 times the current data set during the period of 2030 to 2041 (during HL-LHC). The UZH group together with PSI, will build an inner tracking detector for this period, that will extend the tracking coverage. This Tracker Extended Pixel detector (TEPX) will consist of a large-area disk system with more than one billion pixels [2]. At UZH, we have contributed to the module concept and we are developing the disk electronics, components of the pixel detector readout chain as well as lightweight mechanical structures and thin-walled cooling tubes to build the disk structures with minimal material. We tested pixel detector modules integrated with a prototype disk (Figure) and characterized the thermal behaviour and the performance of the novel serial powering scheme. After the successful validation we are now moving towards production of the pixel modules and detector system.
We are also developing new sensors, called Low Gain Avalanche Detectors (LGADs), which represent the optimal technology to achieve 4D tracking, combining the fine segmentation typical of silicon detectors with fast and enhanced signals to reach around 30 ps of timing resolution for minimum ionizing particles. LGADs thus open the way for precise timing together with precise positioning. Our group is characterizing different technologies within this family of silicon devices to identify the more suitable ones to work in the harsh environment of the pixel systems at LHC. For this purpose, we have been probing the timing resolution and the hit efficiency of LGAD sensors before and after irradiating them to reproduce the effect of high particle fluxes [3].
-
- Zoom
-
Cleanroom in which TEPX detector module Q&C tests are carried out.
Highlighted Publications
- Data transmission performance and characterization of TEPX disks of the CMS Phase-2 Inner Tracker,
F. Bilandzija on behalf of the CMS tracker group,
JINST 20 (2025) C06014 - CMS Phase-2 Inner Tracker system tests,
V. Lukashenko on behalf of the CMS tracker group,
JINST 20 (2025) C06020
Prof. Nicola Serra, Prof. Olaf Steinkamp - LHCb Experiment
Our group develops artificial intelligence methods for physics instrumentation and fundamental research. We are members of the Mu3e, LHCb and SHiP collaborations at CERN. In particular, we lead AI-driven detector optimisation for the SHiP experiment, which searches for feebly interacting particles connected to dark matter, and we apply these methods to future facilities such as FCC. Using reinforcement learning and simulation-based optimisation, we design complex detector systems under realistic constraints and are strongly involved in interdisciplinary projects that transfer particle physics methodologies to other domains.
New approach to detector design with reinforcement learning
In the coming decades, new detectors at CERN will further extend the research programme of particle physics. The proposed SHiP experiment will use the intense CERN beam to search for weakly interacting hidden particles. A central component of SHiP is the muon shield, which must strongly suppress the large flux of muons produced in the target region while preserving acceptance for potential signal particles. Its design has a direct impact on the overall physics reach of the experiment.
Designing large scale detector systems such as the SHiP muon shield is a complex optimisation problem involving many competing objectives. The geometry, segmentation and magnetic configuration must be chosen to maximise shielding performance, while respecting constraints on space, material, cost and integration with the surrounding infrastructure. The number of possible configurations is vast, making exhaustive parameter scans impractical. Traditionally, such systems are developed through iterative manual studies, guided by simulation and expert judgement. This process is time consuming and makes it difficult to explore the full design space in a systematic way.
We develop reinforcement learning methods to automate and accelerate the optimisation of detector components. In this approach, candidate geometries are evaluated in detailed simulation and scored according to their shielding performance and compliance with engineering constraints. The learning algorithm explores different configurations and identifies high performing designs within a large and partially discrete parameter space.
The figure shows three example muon shield concepts generated and evaluated with machine learning under different conditions (such a space, performance and cost). Although they differ significantly in geometry and magnetic layout, all aim to achieve strong muon suppression within the available volume. By systematically comparing such alternatives, the method enables quantitative performance driven design choices and provides new insight into viable configurations beyond those obtained through traditional manual optimisation.
-
-
- Zoom
- Three example muon shield designs for the SHiP experiment obtained through automated optimisation. The concepts differ in geometry and magnetic layout but are evaluated according to a common performance metric based on muon suppression and engineering constraints.
-
Highlighted Publications:
- Physics Instrument Design with Reinforcement Learning, A. R. Qasim, P. Owen, N. Serra,
Mach.Learn.Sci.Tech. 6 (2025) 3, 035033
https://doi.org/10.48550/arXiv.2412.10237
Profs. Lea Caminada, Olaf Steinkamp - The Mu3e experiment
The mu3e experiment at PSI aims at probing the Standard Model of particle physics by searching for the decay of positively charged muons to two positrons and an electron. The observation of this decay would falsify one of the central assumptions of the Standard Model and provide unequivocal proof of "new" physics.
In a first phase of the experiment, the Mu3e collaboration aims at exploiting an existing muon beam at PSI to improve on the currently best upper limit by three orders of magnitude. The sensitivity of the experiment relies on efficient suppression of backgrounds, which necessitates precise measurements of the origins, momenta and production times of the low-energy positrons and electrons.The experiment pioneers a number of novel technologies, such as a vertex detector utilizing ultra-thin HV-MAPS sensors. In 2025, first data in the muon beam at PSI were collected during a 3-week long commissioning campaign with a detector that incorporated components from all subsystems. Our group played an important role in the analysis of data collected during this campaign, as well as in the development of data quality monitoring tools for the vertex detector. A longer data taking period with an improved and more fully equipped detector is planned for 2026.
-
- Zoom
-
Left: Picture of the inner two layers of the vertex detector employed in the 2025 commissioning campaign; right: measured hit rates in the pixels of the second layer. White areas indicate sensors with known problems.
.
Profs. Lea Caminada, Florencia Canelli, Ben Kilminster - Experiments for the FCC
The FCC project aims to push both the intensity and energy frontiers, seeking answers to fundamental questions about the Universe. Envisioned as the successor to the LHC, it would serve the global particle physics community well into the 21st century. Its first phase, FCC-ee, will collide e+ e− pairs in unprecedented quantities at energies ranging from about 90 to 365 GeV.
The UZH FCC group develops advanced tracking detectors and algorithms while exploring novel detector technologies to enhance and broaden the FCC-ee physics program. Over the past few years, our primary focus has been providing key insights to support the FCC Feasibility Study, slated for completion by 2025.
The year 2025 marked a highly productive and strategically important period for the experimental UZH FCC group. It began with the release of the ECFA Study report [1], which systematically compared various options for future Higgs, electroweak, and top factories. Our group made several key contributions to this effort. These included the development of a novel jet flavor tagging algorithm [2], demonstrating—for the first time—the feasibility of strange-jet tagging at FCC-ee; a detailed study of the strange-quark forward–backward asymmetry; and an investigation of the time-dependent precision measurement of Bs 0 → Φμ+ μ − at FCC-ee [3]. Together these studies highlight the unique flavor physics potential of FCC-ee and reinforce its strength in precision physics.
Beyond physics analyses and reconstruction techniques, the group continued to play a central role in developing the FCC-ee vertex detector. We provided detailed detector simulations and performance evaluations [4], contributing essential input to the optimization of vertexing capabilities for heavy-flavor and electroweak precision measurements.
All of the above work fed directly into the FCC Feasibility Study report, which summarizes the progress of the FCC project [5]. Throughout 2025, the European particle physics community engaged in extensive discussions regarding the future direction of the field and the choice of the next flagship collider project following the (HL-)LHC. The community organized via the European Particle Physics Strategy Group ultimately recommended FCC-ee as CERN’s next collider. Should full implementation prove financially unfeasible, a descoped version of FCC-ee is foreseen as a fallback option, albeit with the risk of delayed start-up, extended operational timelines, and reduced physics reach. The CERN Council is expected to formally adopt the community’s recommendations in 2026.
In September 2025, the experimental FCC group at UZH expanded significantly. We welcomed SNSF Ambizione Fellow Armin Ilg, as well as the groups of Prof. Ben Kilminster and Prof. Lea Caminada. Kilminster is chair of the executive board and scientific board for CHEF (Swiss High Energy Physics for the FCC), a national initiative funded by SERI and university groups, which supports FCC R&D for detectors, computing and AI, and theoretical physics. This growth substantially strengthens UZH’s experimental FCC activities and broadens our expertise across detector development and physics studies. These group’s main research directions are:
- Further development and expansion of the FCC-ee physics case, including full detector simulation and reconstruction for the proposed detector concepts.
- Sensor R&D for the FCC-ee vertex detector based on 65 nm technology, building on previous developments [6].
- R&D on advanced timing layers for FCC-ee, including LGAD and MAPS sensor technologies as well as dedicated front-end chip development.
- Exploration of novel technologies—such as wireless data transmission and quantum sensing—for potential application in FCC-ee experiments.
Last year was defining for the UZH FCC group, reinforcing its leadership in FCC-ee physics and detector R&D and paving the way for an expanded program in the future.
-
- Zoom
- Comparison of the 1\σ constraints on Wilson coefficients C9 and C10 of future Bs0 → Φ μ+μ- projections from Belle II + HL-LHC compared to our FCC-ee projection~[3]
Highlighted Publications:
- ECFA Higgs, electroweak, and top factory study,
CERN Yellow Reports: Monographs Vol. 5 (2025) - Tagging more quark jet flavours at FCC-ee at 91 GeV with a transformer-based NN,
EPJC 85, 165 (2025). - Time-dependent precision measurement of Bs 0 → Φμ+ μ − at FCC-ee,
arXiv:2506.08089 - The vertexing challenge at FCC-ee,
2025 JINST 20 C06069 - FCC Feasibility Study Report, Volume 1 Physics, Experiments, Detectors,
EPJC 85, 1468 (2025) - Performance studies of the CE-65v2 MAPS prototype structure,
2025 JINST 20 C03033
Table of contents
- Prof. Thomas Gehrmann - Precision Calculations
- Prof. Massimiliano Grazzini - Standard Model and Higgs Physics at Colliders
- Prof. Gino Isidori - Beyond the Standard Model
- Prof. Stefano Pozzorini - Automated Simulations for high-energy colliders
- Prof. Adrian Signer - High-intensity low-energy particle physics
- Prof. Peter Stoffer - Effective Field Theories at the Precision Frontier
- Prof. Max Zoller - Precision Calculations
- Prof. Lea Caminada, Prof, Florencia Canelli, Prof. Ben Kilminster – CMS Experiment
- Profs. Lea Caminada, Florencia Canelli, Ben Kilminster - Collider detector development
- Prof. Nicola Serra, Prof. Olaf Steinkamp - LHCb Experiment
- Profs. Lea Caminada, Olaf Steinkamp - The Mu3e experiment
- Profs. Lea Caminada, Florencia Canelli, Ben Kilminster - Experiments for the FCC